2019下半年山东教师资格证笔试考多少分才能及格呢?
- 时间:
- 2019-09-17 16:23:00
- 作者:
- 娄老师
- 阅读:
- 来源:
- 山东教师资格证

今天老师就来给大家说一说这个问题~首先来先看一下笔试成绩单长什么样:

卷面满分为150分,按照一般的逻辑应该是90分就可以及格了。但为什么查询成绩时满分又是120分呢?70分及格又是怎么算出来的呢?
报告分数≠卷面分数
你能查到的分数并不是你实际的卷面分,而是转换之后的分数!
由于各个科目难度存在差异,其及格分数线不尽相同。教育部为统一各科目的及格分数线,采用线性转换的方法,将考生0~150分量表上的原始成绩换算为0~120分量表上的转换分,并使各科目的及格分数线统一转换为70分。
分数转化方法
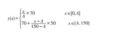
设某科目原始成绩合格分数线为A(0<A<150),若考生在该科目的原始成绩为x(0≤x≤150),则转换分y(x)(0≤y(x)≤120)的计算公式为:

举例讲解
假设分数线A是90分,换算之后有三种情况:
①如果你的卷面成绩是100分,属于[90,150]区间,用下面的公式来计算,得出来的报告分(y)就是78.33,高于70分,你的本科目笔试合格。
②如果你的卷面成绩是88分,属于[0,90]区间,采用上面的公式来计算,得出来的报告分(y)是68.44,低于70分,你的本科目笔试不合格。
③如果你的卷面成绩是90分,分数线A也是90分,上面和下面的公式都能用,算出来的报告分是70分,你的本科目笔试合格。
综上所述呢,由于不同科目的考试难度不同,所以实际合格线肯定不同,为了能给大家一个简明便利的认知,所以教育考试中心才把不同科目的合格线用70分来统一。
那山东教师资格证到底考多少分才及格呢?
老师来总结一下:由于我们不可能提前知道今年的分数线是多少,所以只有努力提高卷面分,才更有可能通过教资笔试!
