2019上半年山东教师资格证高中物理面试试讲真题:《变压器》
- 时间:
- 2019-06-24 11:30:23
- 作者:
- 娄老师
- 阅读:
- 来源:
- 山东教师资格证
一、考题回顾
高中物理《变压器》

二、考题解析
环节一:导入新课
前面我们知道了高压输电线上的电压高达几十万伏,要把那么高的电压变成我们需要的220V的电压就需要用到变压器,现在大家来回顾一下变压器的构造和原理?
在学生回答之后教师提问:那变压器电压和匝数有什么关系呢?从而引入本堂课的内容
环节二:新课讲授
1.变压器线圈两端的电压与匝数的关系?
①学生猜想:与原线圈和副线圈匝数差有关
②学生根据教材中的实验参考分组设计实验验证自己的猜想。
③根据实验方案进行实验并记录实验数据,教师指导,注意学生实验的安全。
④根据实验现象和实验数据进行分析论证,教师鼓励学生用自己的语言描述实验结论,然后尝试用数学表达式进行表示。
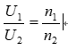
2.电压与匝数的关系
结合实验结论讲解电压与匝数间的关系:

教师讲解理想变压器的概念,同时明确实际的变压器满负荷工作效率能到达90%,因此在计算实际变压器的电压与匝数的关系时上述公式也适用。
教师提出问题:什么条件下变压器有升压的作用,什么条件下降压?
学生结合电压与线圈匝数的关系得到升压变压器的条件是原线圈匝数比副线圈匝数多的时候升压,反之则降压。
3.教师展示图片并介绍几种常见的变压器:街头变压器、变电站的大型变压器和半导体收音机中的小型变压器。
环节三:巩固提高
教师提出问题:变压器中电流的关系是怎么样的?
教师引导:电压是由输入电压和原副线圈的匝数比决定,那么电流由什么决定呢?

【板书设计】略
【答辩题目解析】
1.在远距离输电中,为什么要用高压输电?
【参考答案】
因为输电线上的功率损耗正比于电流的平方(焦耳定律Q=I2Rt),所以在远距离输电时就要利用大型电力变压器升高电压以减小电流,使导线减小发热,在同输电功率的情况下,这样高压输电就能减少输电时的电流从而降低因电流产生的热损耗和降低远距离输电的材料成本。
2.教学目标包含哪几个维度?第二个维度你是怎么拟定的?
【参考答案】
教学目标包含三个维度:知识与技能、过程与方法、情感态度与价值观。其中这节课的第二维度,过程与方法维度的目标我是这么设计的:经历探究变压器电压与线圈匝数的关系的过程,提高实验设计及分析论证的能力。
